样本判定系数R的计算公式是( )。brA、 B、 C、 D、

作者: tihaiku 人气: - 评论: 0
问题 样本判定系数R的计算公式是( )。<>brA、 B、 C、 D、
选项
答案 B
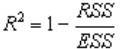
解析 反映回归直线与样本观察值拟合程度的量是拟合优度,又称样本“可决系数”,常用R表示.其计算公式为:R2=1-RSS/TSS=ESS/TSS

相关内容:样本,系数,公式

猜你喜欢

发表评论
更多 网友评论0 条评论)
暂无评论

访问排行

Copyright © 2012-2014 恰考网 Inc. 保留所有权利。 Powered by tikuer.com

页面耗时0.0320秒, 内存占用1.05 MB, Cache:redis,访问数据库19次