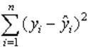
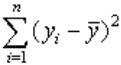
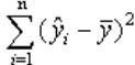
在一元回归中,回归平方和是指( )。A、 B、 C、 D、

作者: tihaiku 人气: - 评论: 0
问题 在一元回归中,回归平方和是指( )。
A、 B、 C、 D、
选项
答案 C
解析 A项为总离差平方和,记为SST;B项为残差平方和,记为RSS; C项为回归平方和,记为ESS。三者之间的关系为:SST=RSS+ESS。

猜你喜欢

发表评论
更多 网友评论0 条评论)
暂无评论

访问排行

Copyright © 2012-2014 恰考网 Inc. 保留所有权利。 Powered by tikuer.com

页面耗时0.0358秒, 内存占用1.03 MB, Cache:redis,访问数据库20次