某一次还本付息债券的票面额为1000元,票面利率10%,必要收益率为12%,期限为5年,如果按单利计息,复利贴现,其内在价值为()元。A、851.14 ...

作者: tihaiku 人气: - 评论: 0
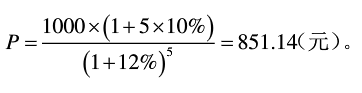
问题 某一次还本付息债券的票面额为1000元,票面利率10%,必要收益率为12%,期限为5年,如果按单利计息,复利贴现,其内在价值为()元。
选项 A、851.14 B、907.88 C、913.85 D、937.50
答案 A
解析

相关内容:债券,面额,1000元,票面,利率,收益率,期限,单利,复利,贴现,内在,价值,851.14

猜你喜欢

发表评论
更多 网友评论0 条评论)
暂无评论

访问排行

Copyright © 2012-2014 恰考网 Inc. 保留所有权利。 Powered by tikuer.com

页面耗时0.0343秒, 内存占用1.05 MB, Cache:redis,访问数据库20次