某宗房地产收益期限为50年的价格为5000元/m2,报酬率为8.5%,该宗房地产30年的价格为()元/m2。A:4915.38B:4646.04C...

作者: rantiku 人气: - 评论: 0
问题 某宗房地产收益期限为50年的价格为5000元/m2,报酬率为8.5%,该宗房地产30年的价格为()元/m2
选项 A:4915.38 B:4646.04 C:4567.41 D:4021.92
答案 B
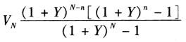
解析 该宗房地产30年的价格为:Vn==5000*(1+8.5%)50-30*[(1+8.5%)30-1]/[(1+8.5%)50-1]万元=4646.04万元。

猜你喜欢

发表评论
更多 网友评论0 条评论)
暂无评论

访问排行

Copyright © 2012-2014 恰考网 Inc. 保留所有权利。 Powered by tikuer.com

页面耗时0.0527秒, 内存占用1.03 MB, Cache:redis,访问数据库15次