某宗房地产的收益期限为40年,通过预测未来3年的年净收益分别为15万元、18万元、23万元,以后稳定在每年25万元直到收益期限结束。如果该类房地产的报酬率...

作者: rantiku 人气: - 评论: 0
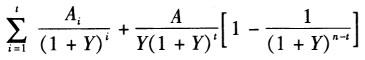
问题 某宗房地产的收益期限为40年,通过预测未来3年的年净收益分别为15万元、18万元、23万元,以后稳定在每年25万元直到收益期限结束。如果该类房地产的报酬率为8%,则该宗房地产的收益价格最接近于()万元。
选项 A:280 B:285 C:290 D:295
答案 A
解析 该宗房地产的收益价格最接近于:V=={15/(1+8%)+18/(1+8%)2+23/(1+8%)3+25/[8%*(1+8%)3]*[1-1/(1+8%)37]}万元=281.3万元。

猜你喜欢

发表评论
更多 网友评论0 条评论)
暂无评论
错误啦!

错误信息

  • 消息: [程序异常] : MISCONF Redis is configured to save RDB snapshots, but it's currently unable to persist to disk. Commands that may modify the data set are disabled, because this instance is configured to report errors during writes if RDB snapshotting fails (stop-writes-on-bgsave-error option). Please check the Redis logs for details about the RDB error.
  • 文件: /twcms/kongphp/cache/cache_redis.class.php
  • 位置: 第 85 行
    <?php echo 'KongPHP, Road to Jane.'; ?>