某宗房地产的收益年限为40年,预测未来3年的净收益分别为17万元、18万元、19万元,从第4年起,每年的净收益将稳定在20万元左右。如果房地产的报酬率为9...

作者: rantiku 人气: - 评论: 0
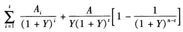
问题 某宗房地产的收益年限为40年,预测未来3年的净收益分别为17万元、18万元、19万元,从第4年起,每年的净收益将稳定在20万元左右。如果房地产的报酬率为9%,则该房地产的收益价格为()万元。
选项 A:195 B:210 C:213 D:217
答案 B
解析 该房地产的收益价格为:V=={17/(1+9%)+{17(/1+9%)2+19/(1+9%)3+20/[9%*(1+9%)3]*[1-1/(1+9%)37]}万元=209.94万元。

猜你喜欢

发表评论
更多 网友评论0 条评论)
暂无评论

访问排行

Copyright © 2012-2014 恰考网 Inc. 保留所有权利。 Powered by tikuer.com

页面耗时0.0750秒, 内存占用1.02 MB, Cache:redis,访问数据库14次