某宗房地产建设用地通过有偿出让方式获得,建设用地使用权剩余年限为40年,出让合同约定建设用地使用权期间届满需要无偿收回建设用地使用权时,建筑物也无偿收回。...

作者: rantiku 人气: - 评论: 0
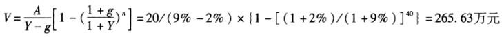
问题 某宗房地产建设用地通过有偿出让方式获得,建设用地使用权剩余年限为40年,出让合同约定建设用地使用权期间届满需要无偿收回建设用地使用权时,建筑物也无偿收回。预计房地产未来第一年的净收益为20万元,此后每年的净收益会在上一年的基础上增长2%,该类房地产的报酬率为9%,则该宗房地产的收益价格为()万元。
选项 A:164 B:266 C:286 D:291
答案 B
解析 该宗房地产的收益价格为

猜你喜欢

发表评论
更多 网友评论0 条评论)
暂无评论
错误啦!

错误信息

  • 消息: [程序异常] : MISCONF Redis is configured to save RDB snapshots, but it's currently unable to persist to disk. Commands that may modify the data set are disabled, because this instance is configured to report errors during writes if RDB snapshotting fails (stop-writes-on-bgsave-error option). Please check the Redis logs for details about the RDB error.
  • 文件: /twcms/kongphp/cache/cache_redis.class.php
  • 位置: 第 85 行
    <?php echo 'KongPHP, Road to Jane.'; ?>