甲乙两块其他条件相同的土地,甲土地单价为1400元/m2,容积率为4,土地使用年限为40年;乙土地单价为900元/m2,容积率为2.5,土地使用年限为50...

作者: rantiku 人气: - 评论: 0
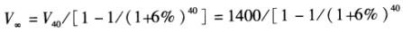
问题 甲乙两块其他条件相同的土地,甲土地单价为1400元/m2,容积率为4,土地使用年限为40年;乙土地单价为900元/m2,容积率为2.5,土地使用年限为50年。投资乙土地较投资甲土地更经济(假设土地报酬率为6%)。()
选项
答案
解析 ,甲土地的楼面地价=1263.89/4=315.97(元/m2)。,乙土地的楼面地价=851.14/2.5=340.46(元/m2)。乙土地的楼面地价>甲土地的楼面地价,所以投资乙土地更经济。

猜你喜欢

发表评论
更多 网友评论0 条评论)
暂无评论

访问排行

Copyright © 2012-2014 恰考网 Inc. 保留所有权利。 Powered by tikuer.com

页面耗时0.0659秒, 内存占用1.03 MB, Cache:redis,访问数据库19次