1.某写字楼的持有期估计为10年,预测其未来第一年的有效毛收入为50万元,运营费用为18万元,有效毛收入每年增长5%,运营费用每年增长3%;该类房地产的报...

作者: rantiku 人气: - 评论: 0
问题

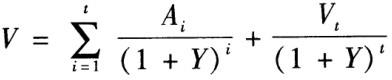
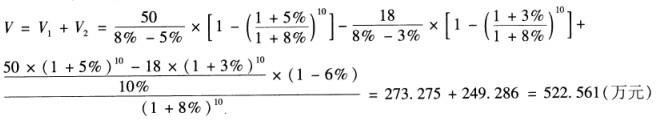
1.某写字楼的持有期估计为10年,预测其未来第一年的有效毛收入为50万元,运营费用为18万元,有效毛收入每年增长5%,运营费用每年增长3%;该类房地产的报酬率为8%,持有期结束时的资本化率为10%,转让税费为转售价格的6%。请计算该写字楼目前的收益价值。(8分)

选项
答案
解析

1.解:选用预知未来若干年后价格的收益公式:


注:本题中应注明期间报酬率和期末报酬率相同,均为8%。

猜你喜欢

发表评论
更多 网友评论0 条评论)
暂无评论

访问排行

Copyright © 2012-2014 恰考网 Inc. 保留所有权利。 Powered by tikuer.com

页面耗时0.0419秒, 内存占用1.03 MB, Cache:redis,访问数据库18次