某商场的建筑面积6000m2,土地使用期限40年,从2008年10月1日起计,不可续期。该商城于2010年10月1日进行了抵押贷款,贷款金额600万元,贷...

作者: rantiku 人气: - 评论: 0
问题

某商场的建筑面积6000m2,土地使用期限40年,从2008年10月1日起计,不可续期。该商城于2010年10月1日进行了抵押贷款,贷款金额600万元,贷款期限10年,贷款年利率6%(贷款期间贷款利率不变),每年等额偿还本息。抵押当时的贷款成数为6成,现实社会一般贷款成数为5成。调查得知,现在附近类似商场较乐观、最可能和较保守的年净收益分别为600万元、560万元和500万元。该商场除上述贷款外无其他法定优先受偿款,房地产报酬率为8%。

请计算该商场2013年10月1日的再次抵押价值以及正常市场条件下带抵押合同的购买价格(分别计算以下两种购买方式下的购买价格:一是购买者购买后按原偿还方式承担还款义务;二是购买者一次性偿还剩余贷款后购买)。(10分)

选项
答案
解析

(1)求解2013年10月1日再次抵押价值再次抵押价值=未设立法定优先受偿权下的市场价值-已抵押担保的债权数额-其他法定优先受偿款=未设立法定优先受偿权下的市场价值-已抵押贷款余额/社会一般贷款成数-其他法定优先受偿款1)2013年10月1日未设立法定优先受偿款下的市场价值抵押目的估价遵循谨慎原则,在用收益法评估时,年净收益应采用较保守估计值500万元,收益期限为40年-5年=35年,利用公式:V=A/Y*[1-1/(1+Y)n],可得2013年10月1日未设立法定优先受偿权下的市场价值为:V=500/8%*[1-1/(1+8%)35]=5827.28(万元)2)求解已抵押贷款余额利用公式A=Pi+Pi/[(1+i)n-1]可得A=600*6%+600*6%/[(1+6%)10-1]=81.52(万元),利用公式P=A/i*[1-1/(1+i)n]可得已抵押贷款余额P=81.52/6%*[1-1/(1+6%)7]=455.08(万元)3)2013年IO月1日再次抵押价值=5827.28-455.08/0.5-0=4917.12(万元)

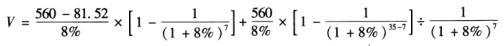
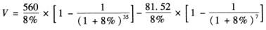
(2)求解正常市场条件下带抵押合同的购买价格(购买者购买后按原偿还方式承担还款义务方式)

V==6102.14(万元)

另一种解法:

V==6102.14(万元)

(3)求解正常市场条件下带抵押合同的购买价格(购买者一次性偿还剩余贷款后购买方式)V=A/Y*[1-1/(1+Y)n],可得2013年10月1日未设立法定优先受偿权下的市场价值为V=500/8%*[1-1/(1+8%)35]=6526.56(万元),减去已抵押贷款余额P=81.52/6%*[1-1/(1+6%)7]=455.08(万元),可得购买者一次性偿还剩余贷款后购买价格为6071.48万元。

【独家解读】

(1)在确定收益期限和收益价格时没有考虑建筑物剩余经济寿命的影响。

(2)缺少“预计未来净收益每年保持不变”的说明。

(3)正常市场条件下带抵押合同的购买价格(购买者购买后按原偿还方式承担还款义务方式)是带有债权债务房地产的转让价格,等于不带债务的正常价格减去债务,其中,购买后7年内每年需支付的还本付息额可视为运营费用,应从净收益中扣除。

猜你喜欢

发表评论
更多 网友评论0 条评论)
暂无评论

访问排行

Copyright © 2012-2014 恰考网 Inc. 保留所有权利。 Powered by tikuer.com

页面耗时0.0457秒, 内存占用1.04 MB, Cache:redis,访问数据库16次