某宗房地产的收益期限为30年,判定其未来每年的净收益基本上固定不变,通过预测得知其未来3年的净收益分别为22万元、25万元、26万元,报酬率为10%。则该...

作者: tihaiku 人气: - 评论: 0
问题 某宗房地产的收益期限为30年,判定其未来每年的净收益基本上固定不变,通过预测得知其未来3年的净收益分别为22万元、25万元、26万元,报酬率为10%。则该房地产的收益价格为()万元。
选项 A:228.23 B:229.36 C:224.74 D:223.63
答案 A
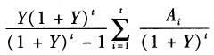
解析 该房地产的收益价格为:A==10%*(1+10%)3/[(1+10%)3-1]*[22/(1+10%)+25/(1+10%)2+26/(1+10%)3]万元=24.21万元,V=A/Y[1-1/(1+Y)n]=24.21/10%*[1-1/(1+10%)30]万元=228.23万元。

相关内容:某宗,房地产,收益,期限,未来,预测,22万元,25万元,26万元,报酬率,则该

猜你喜欢

发表评论
更多 网友评论0 条评论)
暂无评论

访问排行

Copyright © 2012-2014 恰考网 Inc. 保留所有权利。 Powered by tikuer.com

页面耗时0.0374秒, 内存占用1.05 MB, Cache:redis,访问数据库19次