某宗房地产的收益期限为40年,通过预测未来3年的年净收益分别为15万元、18万元、23万元,以后稳定在每年25万元直到收益期限结束。如果该类房地产的报酬率...

作者: tihaiku 人气: - 评论: 0
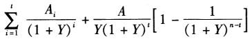
问题 某宗房地产的收益期限为40年,通过预测未来3年的年净收益分别为15万元、18万元、23万元,以后稳定在每年25万元直到收益期限结束。如果该类房地产的报酬率为8%,则该宗房地产的收益价格最接近于()万元。
选项 A:280 B:285 C:290 D:295
答案 A
解析 该宗房地产的收益价格最接近于:V=={15/(1+8%)+18/(1+8%)2+23/(1+8%)3+25/[8%*(1+8%)3]*[1-1/(1+8%)37]}万元=281.3万元。

相关内容:某宗,房地产,收益,期限,预测,未来,年净,15万元,18万元,23万元,25万元,直到,报酬率

猜你喜欢

发表评论
更多 网友评论0 条评论)
暂无评论

访问排行

Copyright © 2012-2014 恰考网 Inc. 保留所有权利。 Powered by tikuer.com

页面耗时0.0456秒, 内存占用1.04 MB, Cache:redis,访问数据库19次