某宗收益性房地产60年土地使用权,报酬率为10%的价格为5000元/m2,则该宗房地产40年土地使用权,报酬率为12%的价格为()元/m2。A:4135....

作者: tihaiku 人气: - 评论: 0
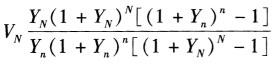
问题 某宗收益性房地产60年土地使用权,报酬率为10%的价格为5000元/m2,则该宗房地产40年土地使用权,报酬率为12%的价格为()元/m2
选项 A:4135.47 B:4889.32 C:4917.79 D:4946.27
答案 A
解析 年期为40年,对应报酬率为12%的房地产价格为:Vn==5000*{10%*(1+10%)60*[(1+12%)40-1]}/{12%*(1+12%)40*[(1+10%)60-1]}元/m2=4135.47元/m2

相关内容:某宗,收益性,房地产,土地使用权,报酬率,价格,5000元,该宗,4135....

猜你喜欢

发表评论
更多 网友评论0 条评论)
暂无评论

访问排行

Copyright © 2012-2014 恰考网 Inc. 保留所有权利。 Powered by tikuer.com

页面耗时0.0307秒, 内存占用1.04 MB, Cache:redis,访问数据库17次