某宗土地50年使用权的价格为1000万元,现探测其地下有铜矿资源,该铜矿资源的价值为500万元。若土地报酬率为7%,则该宗土地30年使用权的价格为()万元...

作者: tihaiku 人气: - 评论: 0
问题 某宗土地50年使用权的价格为1000万元,现探测其地下有铜矿资源,该铜矿资源的价值为500万元。若土地报酬率为7%,则该宗土地30年使用权的价格为()万元。
选项 A:899 B:1000 C:1349 D:1500
答案 A
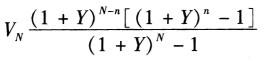
解析 该宗土地30年使用权的价格为:V==1000*{(1+7%)50-30*[(1+7%)30-1]}/[(1+7%)50-1]万元=899.16万元。

相关内容:某宗,土地,使用权,价格,1000万元,探测,其地,下有,铜矿,资源,价值,500万元,报酬率,该宗,万元

猜你喜欢

发表评论
更多 网友评论0 条评论)
暂无评论

访问排行

Copyright © 2012-2014 恰考网 Inc. 保留所有权利。 Powered by tikuer.com

页面耗时0.0266秒, 内存占用1.05 MB, Cache:redis,访问数据库19次