某宗房地产的收益期限为38年,通过预测得到其未来3年的净收益分别为20万元、22万元、25万元,从未来第4年起,每年净收益为26万元直到收益期限结束,该类...

作者: tihaiku 人气: - 评论: 0
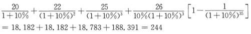
问题 某宗房地产的收益期限为38年,通过预测得到其未来3年的净收益分别为20万元、22万元、25万元,从未来第4年起,每年净收益为26万元直到收益期限结束,该类房地产的报酬率为10%,则该房地产的收益价格最接近()万元。
选项 A:244 B:262 C:284 D:291
答案 A
解析

相关内容:某宗,房地产,收益,期限,预测,未来,20万元,22万元,25万元,4年起,26万元,直到

猜你喜欢

发表评论
更多 网友评论0 条评论)
暂无评论

访问排行

Copyright © 2012-2014 恰考网 Inc. 保留所有权利。 Powered by tikuer.com

页面耗时0.0370秒, 内存占用1.04 MB, Cache:redis,访问数据库18次