某在建工程开工于2010年11月30日,拟建为商场和办公综合楼;总用地面积3000m*。建设用地使用权年限为50年,从开工之日起计;规划建筑总面积1240...

作者: tihaiku 人气: - 评论: 0
问题

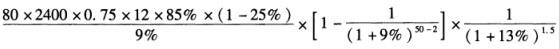
某在建工程开工于2010年11月30日,拟建为商场和办公综合楼;总用地面积3000m*。建设用地使用权年限为50年,从开工之日起计;规划建筑总面积12400m2,其中商场建筑面积2400m2,办公楼建筑面积10000m2;该工程正常施工期为2年,建筑费每平方米建筑面积2300元,专业费为建筑费的lO%;至2011年5月31日已完成7层主体结构,已投入总建筑费及专业费的36%,还需投入总建筑费及专业费的64%(假设均匀投入,视同发生在该投入期中);贷款年利率为8.5%。预计该工程建成后商场即可出租,办公楼可售出;办公楼售价为每平方米建筑面积5000元,销售税费为售价的8%;商场可出租面积的月租金为80元/m2,建筑面积与可出租面积之比为1:0.75,正常出租率为85%,出租的成本及税费为有效总收益的25%。估计购买该在建工程后于建成时应获得正常投资利润为520万元。当地购买在建工程买方需要缴纳的税费为购买价的3%。

试利用上述资料计算该在建工程于2011年5月31日的正常总价格。(假设报酬率为9%,折现率为13%)

选项
答案
解析

(1)该办公楼开发完成后的价值V==5000*10000/(1+13%)1.5=4162.48万元,办公楼的销售税费=4162.48*8%=333万元商场部分开发完成后的价值V==1002.96万元

(2)续建总费用=2300*12400*64%*(1+10%)/(1+13%)0.75=1671.49万元。

(3)购买该在建工程于2011年5月31日的正常总价格:(4162.48+1002.69-1671.49-333)/(1+3%)=3068.62万元。

相关内容:在建工程,开工,2010年,商场,办公,综合楼,用地,面积,建设,使用权,年限,规划,建筑,总面积,1240...

猜你喜欢

发表评论
更多 网友评论0 条评论)
暂无评论

访问排行

Copyright © 2012-2014 恰考网 Inc. 保留所有权利。 Powered by tikuer.com

页面耗时0.0378秒, 内存占用1.05 MB, Cache:redis,访问数据库19次