有一写字楼,土地面积为1000m2,是10年前通过征收农地取得的。土地的使用年限为40年,土地出让合同未约定不可续期。地上建筑物总建筑面积4000m2,于...

作者: tihaiku 人气: - 评论: 0
问题

有一写字楼,土地面积为1000m2,是10年前通过征收农地取得的。土地的使用年限为40年,土地出让合同未约定不可续期。地上建筑物总建筑面积4000m2,于8年前建成并交付使用。建筑物的重置成本为1500元/m2,结构为钢筋混凝土结构,现需评估该写字楼2007年9月30日的价值。搜集有关资料如下:(1)收集了三宗出让年限40年的土地交易实例作为可比实例,有关资料如下:

从2007年1月1日至2007年6月30日,该写字楼的市场价格基本不变,以后每月均递减1%。(2)当地征收农地的费用等资料如下:价值时点征收城市边缘土地每亩需要支付70万元的征地补偿和安置等费用,向政府交付土地使用权出让金为200元/m2,土地开发的费用、税金和利润等为180元/m2,可视为城市边缘熟地的价格。该城市土地分为10个级别,城市边缘熟地列为最差级,而估价对象房地产处于第七级土地上。各级土地之间的价格差异见下表。

(3)其他相关资料如下:门窗等的损坏修复费用为3万元;装修的重置价格为85万元,平均寿命为5年,有效经过年数为3年;设备的重新购建价格为92.5万元,经济寿命为15年,有效经过年数为8年;另调查得知,该写字楼电梯功能已落后,该功能落后电梯的重置价格50万元,已计提折旧30万元,拆除费用为2万元,可回收的残值为4万元,现安装新的功能先进的电梯需要100万元,假设在重置建造办公楼时一同安装该电梯只需要75万元;同时由于该写字楼墙体隔热保温性差,导致与同类写字楼相比,每月增加能耗600元;同时由于周边环境的变化,该写字楼的租金将长期受到负面影响,预计每年租金损失5万元。试用成本法评估该写字楼2007年9月30日的价值。土地重新购建价格要求用比较法和成本法综合求取。土地报酬率为8%,房地产的报酬率为10%,银行的贷款利率为5%。

(如需计算平均值,请采用简单算术平均法,小数点后保留两位)

选项
答案
解析

解:

(1)成本法公式如下房地产价格=土地重置价+建筑物重置价-建筑物折旧

(2)求取使用年限40年的土地重置价1)用比较法求取A修正后的单价=5000*(100/102)*(1-1%)3*(100/99)=4804.41元/m2B修正后的单价=5200*(100/100)*(1-l%)3*(100/98)=5148.53元/m2C修正后的单价=4900*(100/97)*(1-1%)2*(100/101)=4902.00元/m2再用简单算术平均法求得土地价格=(4804.41+5148.53+4902.00)=4951.65元/m22)用征收农地的费用加土地开发费用和土地使用权出让金等,再加上地段差价调节的办法求取土地价格为(700000/666.67+200+180)*3.38-4833.38元/m23)用简单算术平均法求得上述两种方法的平均土地价格为(4951.65+4833.38)/2=4892.52元/m2出让年限40年的土地总价=4892.52*1000=4895200元=489.52万元

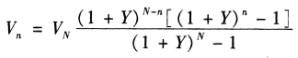
(3)土地的重新购建价格土地剩余使用年限=40-10=30年

Vn=

V30=489.25*{(1+8%)40-30*[(1+8%)30-1]}/[(1+8%)40-1]=461.89万元

(4)计算建筑物的折旧

1)建筑物的重置价格=1500*4000=600万元

2)建筑物的物质折旧①门窗等可修复部分的折旧额=3万元②装修部分的折旧额=85*1/5*3=51万元③设备部分的折旧额=92.5*1/15*8=49.33万元④长寿命项目的折旧额=(600-3-85-92.5)*8/60=55.93万元⑤建筑物的物质折旧总额=3+51+49.33+55.93=159.26万元

3)建筑物的功能折旧①该办公楼因电梯落后引起的折旧=(50-30)+(2-4)+100-75=43万元②功能过剩引起的功能折旧=0.06*12/10%*[1-1/(1+10%)60-8]=7.15万元③建筑物的功能折旧-43+7.15=50.15万元

4)建筑物的经济折旧额=5/10%*[1-1/(1+10%)52]=49.65万元

5)建筑物折旧额=159.26+50.15+49.65=259.06万元(5)该写字楼2007年9月30日的价值-46189+600-259.06=802.83万元

相关内容:写字楼,土地,面积,1000m2,年前,农地,年限,合同,地上,建筑物,建筑面积,4000m2

猜你喜欢

发表评论
更多 网友评论0 条评论)
暂无评论

访问排行

Copyright © 2012-2014 恰考网 Inc. 保留所有权利。 Powered by tikuer.com

页面耗时0.0298秒, 内存占用1.05 MB, Cache:redis,访问数据库18次