某房地产开发项目的占地面积为9000m2,总建筑面积60000m2,其中公寓40000m2,商务、办公、餐饮、健身娱乐等服务用房10000m2,地下车位3...

作者: rantiku 人气: - 评论: 0
问题

某房地产开发项目的占地面积为9000m2,总建筑面积60000m2,其中公寓40000m2,商务、办公、餐饮、健身娱乐等服务用房10000m2,地下车位300个(10000m2)。项目建设期为3年,总投资额为40000万元(不包括贷款利息),其中自有资金占40%,其余投资来源于贷款和预售收入:第一年投入资金10000万元,全部为自有资金;第二年投入资金13000万元,其中6000万元为自有资金,第三年投入资金17000万元。该项目的住宅与停车位从第二年开始销售,第二、三、四年的净销售收入分别为8000万元、13000万元、23000万元,第四年末全部售完;服务用房在第五年初开始出租,出租率为80%,租金为3500元/m2·年,运营成本为租金收入的25%,收益期限为40年,在收益期限到期时,服务用房的残值为35万元。假设投入全部发生在年初,收入发生在年末且可以全部再投入,贷款按年计复利,本息从第四年初开始偿还;在整个出租期内,出租率、租金、运营成本均维持不变;该项目的贷款年利率为10%,投资者全部投资和自有资金的目标收益率分别为15%和25%。在贷款利息最少条件下,

求:

(1)该项目的借款计划和还款计划。

(2)该项目全部投资内部收益率。

(3)该项目自有资金财务净现值。

选项
答案
解析

【解】

(1)求借款计划和还款计划:

1)借款计划:2年初借款:13000-6000=7000(万元)第3年初借款:17000-8000=9000(万元)

2)还款计划:第4年初应还款:7000*(1+10%)2+9000*(1+10%)=18370(万元),还款13000万元第5年初应还款:(18370-13000)*(1+10%)=5907(万元),还款5907万元

(2)求现金流量

1)第4年末~第40年末的年租金收入:3500*10000*80%=2800(万元)

2)第4年末~第40年末的年运营成本:2800*25%=700(万元)

3)列出现金流量表(单位:万元)

(3)求项目全部投资内部收益率

当i1=15%时

当i2=16%时,

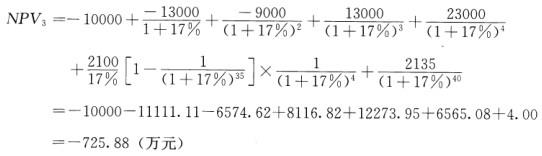
当i3=17%时,

因此,FIRR=16%+350.14*(17%-16%)/(350.14+725.88)=16.33%(或者:FIRR=15%+1540.80*(17%-15%)/(1540.80+725.88)=16.36%)

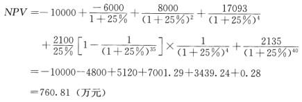
(4)求自有资金财务净现值

猜你喜欢

发表评论
更多 网友评论0 条评论)
暂无评论

访问排行

Copyright © 2012-2014 恰考网 Inc. 保留所有权利。 Powered by tikuer.com

页面耗时0.0295秒, 内存占用1.04 MB, Cache:redis,访问数据库17次