某5年期债券,面值为100元,票面利率为10%,单利计息,市场利率为10%,到期一次还本付息,则该债券的麦考利久期为()年。A. 3 B. 3.5 C...

作者: tihaiku 人气: - 评论: 0
问题 某5年期债券,面值为100元,票面利率为10%,单利计息,市场利率为10%,到期一次还本付息,则该债券的麦考利久期为()年。
选项 A. 3 B. 3.5 C. 4 D. 5
答案 D
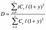
解析 方法一:某一金融工具的麦考利久期等于金融工具各期现金流发生的相应时间乘以各期现值与金融工具现值的商,即 式中,D代表麦考利久期;t代表金融工具的现金流发生的时间;Ct代表金融工具第t期的现金流量;y为收益率或当前市场利率。根据计算,麦考利久期等于5年。 方法二:由于贴现债券只有一笔现金流,即期末一次性偿还,因此,贴现债券的麦考利久期等于债券到期期限。该债券相当于贴现债券,因此,麦考利久期等于5年。

相关内容:年期,债券,面值,100元,票面,利率,单利,市场,到期,麦考,利久期

猜你喜欢

发表评论
更多 网友评论0 条评论)
暂无评论

访问排行

Copyright © 2012-2014 恰考网 Inc. 保留所有权利。 Powered by tikuer.com

页面耗时0.0395秒, 内存占用1.04 MB, Cache:redis,访问数据库14次