A、B两种债券为永久性债券,每年付息,永不偿还本金,债券A的票面利率为5%,债券B的票面利率为6%,若它们的到期收益率均等于市场利率,则()。A.债券A的...

作者: tihaiku 人气: - 评论: 0
问题 A、B两种债券为永久性债券,每年付息,永不偿还本金,债券A的票面利率为5%,债券B的票面利率为6%,若它们的到期收益率均等于市场利率,则()。
选项 A.债券A的久期大于债券B的久期 B.债券A的久期小于债券B的久期 C.债券A的久期等于债券B的久期 D.无法确定债券A和B的久期大小
答案 C
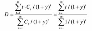
解析 A、B两种债券久期的计算公式均为: 可见,久期只与市场利率y有关,因此,A、B两种债券的久期相等。

相关内容:债券,永久性,本金,票面,利率,到期,收益率,市场

猜你喜欢

发表评论
更多 网友评论0 条评论)
暂无评论

访问排行

Copyright © 2012-2014 恰考网 Inc. 保留所有权利。 Powered by tikuer.com

页面耗时0.0549秒, 内存占用1.04 MB, Cache:redis,访问数据库14次