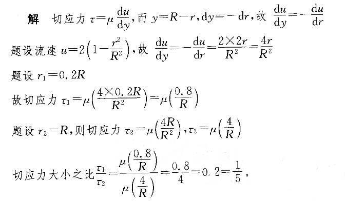
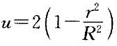
半径为R的圆管中,横截面上流速分布为,其中r表示到圆管轴线的距离,则在r1=0. 2R处的黏性切应力与r2 =R处的黏性切应力大小之比为:A. 5 B....

作者: tihaiku 人气: - 评论: 0
问题 半径为R的圆管中,横截面上流速分布为,其中r表示到圆管轴线的距离,则在r1=0. 2R处的黏性切应力与r2 =R处的黏性切应力大小之比为:
选项 A. 5 B. 25 C. 1/5 D.1/25
答案 C
解析

相关内容:半径,横截,面上,流速,圆管,轴线,距离,黏性,应力,大小

猜你喜欢

发表评论
更多 网友评论0 条评论)
暂无评论
错误啦!

错误信息

  • 消息: [程序异常] : MISCONF Redis is configured to save RDB snapshots, but it's currently unable to persist to disk. Commands that may modify the data set are disabled, because this instance is configured to report errors during writes if RDB snapshotting fails (stop-writes-on-bgsave-error option). Please check the Redis logs for details about the RDB error.
  • 文件: /twcms/kongphp/cache/cache_redis.class.php
  • 位置: 第 85 行
    <?php echo 'KongPHP, Road to Jane.'; ?>