一水平放置的恒定变直径圆管流,不计水头损失,取两个截面1和2,当d1>d2时,则两截面形心压强关系是:A.p12 B. p1>p2 C.p1=p2 ...

作者: tihaiku 人气: - 评论: 0
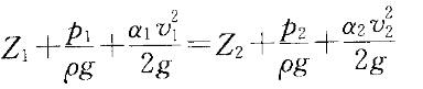
问题 一水平放置的恒定变直径圆管流,不计水头损失,取两个截面1和2,当d1>d2时,则两截面形心压强关系是:
选项 A.p12 B. p1>p2 C.p1=p2 D.不能确定
答案 B
解析 解:对断面1-1及2-2中点写能量方程: 题设管道水平,故Z1=Z2。又设d1>d2,由连续方程知v12 代入上式后知:p1>p2。

相关内容:水平,直径,圆管,水头,损失,两个,截面,形心,压强,关系

猜你喜欢

发表评论
更多 网友评论0 条评论)
暂无评论
错误啦!

错误信息

  • 消息: [程序异常] : MISCONF Redis is configured to save RDB snapshots, but it's currently unable to persist to disk. Commands that may modify the data set are disabled, because this instance is configured to report errors during writes if RDB snapshotting fails (stop-writes-on-bgsave-error option). Please check the Redis logs for details about the RDB error.
  • 文件: /twcms/kongphp/cache/cache_redis.class.php
  • 位置: 第 85 行
    <?php echo 'KongPHP, Road to Jane.'; ?>