某企业向银行借款,按季度计息,年名义利率为8%,则年实际利率为:A. 8% B. 8. 16% C. 8. 24% D. 8. 3%

作者: tihaiku 人气: - 评论: 0
问题 某企业向银行借款,按季度计息,年名义利率为8%,则年实际利率为:
选项 A. 8% B. 8. 16% C. 8. 24% D. 8. 3%
答案 C
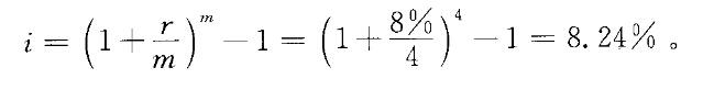
解析 解:利用由年名义利率求年实际利率的公式计算:

相关内容:企业,银行,借款,季度,名义,利率,实际

猜你喜欢

发表评论
更多 网友评论0 条评论)
暂无评论

Copyright © 2012-2014 恰考网 Inc. 保留所有权利。 Powered by tikuer.com

页面耗时0.0453秒, 内存占用1.05 MB, Cache:redis,访问数据库19次