A.气体对外做的功一定为正值 B.气体对外做的功一定为负值 C.气体的内能一定增加 D.气体的内能保持不变

作者: tihaiku 人气: - 评论: 0
问题
选项 A.气体对外做的功一定为正值 B.气体对外做的功一定为负值 C.气体的内能一定增加 D.气体的内能保持不变
答案 D
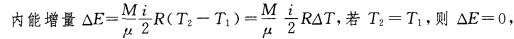
解析 解 对于给定的理想气体,内能的增量只与系统的起始和终了状态有关,与系统所经历的过程无关。 气体内能保持不变。

相关内容:气体,对外,负值,内能

猜你喜欢

发表评论
更多 网友评论0 条评论)
暂无评论

Copyright © 2012-2014 恰考网 Inc. 保留所有权利。 Powered by tikuer.com

页面耗时0.0376秒, 内存占用1.05 MB, Cache:redis,访问数据库19次