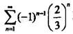
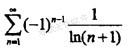
下列各级数中发散的是( )。

作者: tihaiku 人气: - 评论: 0
问题 下列各级数中发散的是( )。
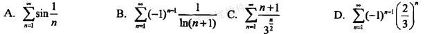
选项
答案 A
解析 提示:因为,而发散,故发散,应选A。是交错级数,符合莱布尼茨定理条件;用比值审敛法,可判断级数是收敛的;取绝对值后是等比级数,绝对收敛。

猜你喜欢

发表评论
更多 网友评论0 条评论)
暂无评论
错误啦!

错误信息

  • 消息: [程序异常] : MISCONF Redis is configured to save RDB snapshots, but it's currently unable to persist to disk. Commands that may modify the data set are disabled, because this instance is configured to report errors during writes if RDB snapshotting fails (stop-writes-on-bgsave-error option). Please check the Redis logs for details about the RDB error.
  • 文件: /twcms/kongphp/cache/cache_redis.class.php
  • 位置: 第 85 行
    <?php echo 'KongPHP, Road to Jane.'; ?>