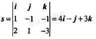
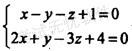
求过点M(3,-2,1)且与直线平行的直线方程是()。
相关内容:直线,方程
- 微分方程的通解是( )。
- 微分方程cosydx+(1+e-x)sinydy=0满足初始条件y x=0=π/3的特解是( )。
- 求过点M(3,-2,1)且与直线平行的直线方程是()。
- 已知平面π过点(1,1,0)、(0,0,1), (0,1,1),则与平面π垂直且过点(1,1,1)的直线的对称式方程为( )。
- 设齐次方程组,当方程组有非零解时,k值为( )。A. -2或3
B. 2或3
C. 2或-3
D. -2或-3
- 下列关于曲面方程的结论中,错误的是()。A. 2x2-3y2-z = 1表示双叶双曲面
B. 2x2+3y2-z2=1表示单叶双曲面
C. 2x2+3...
- 曲线y=e-x (x≥0)与直线x=0,y=0所围图形绕ox轴旋转一周所得旋转体的体积为( )。A. π/2
B. π
C. π/3
D. π/4
- 应用总流能量方程时,流动应为()。A.均匀流或渐变流
B.恒定流
C.非恒定流
D.可压缩流体
- 微分方程y''=y'2的通解是( )(C1、C2为任意常数)。
- 平面平行力系处于平衡,应有独力平衡方程的个数为( )。A. 1个
B. 2个
C. 3个
D. 4个