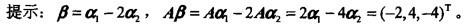
已知λ= 2是三阶矩A的一个特征值,α1、α2是A的属于λ= 2的特征向量。 若α1=(1,2,0)T,α2=(1,0,1)T,向量β= (-1,2,-2...
相关内容:三阶,特征值,特征,向量
- 已知3维列向量α,β满足αTβ=3,设3阶矩阵A=βαT,则( )。A.β是A的属于特征值0的特征向量
B. α是A的属于特征值0的特征向量
C.β是...
- 设α=i+2j+3k,β=i-3j-2k,与α、β都垂直的单位向量为( )。
- 下面不属于网络安全特征的是()。A.完整性
B.可用性
C.可控性
D.公开性
- 设α,β,γ都是非零向量,α×β=α×γ,则( )。A. β=γ
B. α//β 且α//γ
C. α//(β-γ)
D. α⊥(β-γ)
- 设直线的方程为,则直线()。A.过点(1,-1,0),方向向量为2i+j-k
B.过点(1,-1,0),方向向量为2i-j+k
C.过点(-1,1,0...
- 信息有多个特征,下列四条关于信息特征的叙述中,有错误的一条是()。A.信息的可识别性,信息的可变性,信息的可流动性
B.信息的可处理性,信息的可存储性,...
- 设α、β、γ均为三维列向量,以这三个向量为列构成的3阶方阵记为A,即A=(αβγ)。若α、β、γ所组成的向量组线性相关,则 A 的值是( )。A.大于0
...
- 已知λ= 2是三阶矩A的一个特征值,α1、α2是A的属于λ= 2的特征向量。 若α1=(1,2,0)T,α2=(1,0,1)T,向量β= (-1,2,-2...
- 设α、β、γ、δ是维向量,已知α、β线性无关,γ可以由α、β线性表示, δ不能由α、β线性表示,则以下选项正确的是( )。A. α、β、γ、δ线性无关
...
- 已知。r1=3,r2=-3是方程y+py+q=0 (p和q是常数)的特征方程的两个根, 则该微分方程是( )。A. y+9y=0= 0
B. y-9y=...