等于()。A. cosx-sinx + B. sinx + cosx + C. sinx-cosx + D. -cosx -sinx +

作者: tihaiku 人气: - 评论: 0
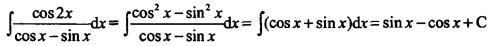
问题 等于()。
选项 A. cosx-sinx + B. sinx + cosx + C. sinx-cosx + D. -cosx -sinx +
答案 C
解析 提示:故应选C。

猜你喜欢

发表评论
更多 网友评论0 条评论)
暂无评论

Copyright © 2012-2014 恰考网 Inc. 保留所有权利。 Powered by tikuer.com

页面耗时0.0316秒, 内存占用1.01 MB, Cache:redis,访问数据库20次