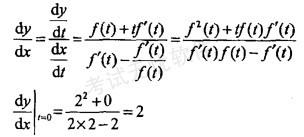
参数方程确定了y是x的函数,且f,(t)存在,f(0) = 2, f,(0) = 2,则当t=0时,dy/dx的值等于( )。A. 4/3
B. -4/...
相关内容:参数,方程,函数,则当
- 下列函数中不是方程y''-2y'+y= 0的解的函数是( )。A. x2ex
B. ex
C. xex
D. (x+2)ex
- 某种理想气体的总分子数为N,分子速率分布函数为f(v),则速率在v1~v2区间内的分子数是()。
- 下列命题正确的是( )。A.分段函数必存在间断点
B.单调有界函数无第二类间断点
C.在开区间连续,则在该区间必取得最大值和最小值
D.在闭区间上有...
- 如图7-16所示电路中,US=10V,i=1mA,则()。
A.因为i2=0,使电流i1=1mA.因为参数
B未知,无法求出电流i
C.虽然电流...
- 在三维空间中方程y2-z2=1所代表的图形是( )。A.母线平行x轴的双曲柱面
B.母线平行y轴的双曲柱面
C.母线平行z轴的双曲柱面
D.双曲线
- 下列各点中为二元函数z=x3-y3-3x2+3y-9x的极值点的是( )。A. (3,-1)
B. (3,1)
C. (1,1)
D. (-1,-1)
- 如图7-14所示电路的戴维南等效电路参数US和RS各为下列何值?()
A.9V,2Ω
B.3V,4Ω
C.3V,6Ω
D.9V,6Ω
- 函数在x处的微分为( )。
- 点在平面内的运动方程为,则其轨迹为( )。A.椭圆曲线
B.圆弧曲线
C.直线
D.抛物线
- 总流能量方程中z+p/ρg+v2/2g表示( )。A.单位重量流体具有的机械能
B.单位质量流体具有的机械能
C.单位体积流体具有的机械能
D.通过...