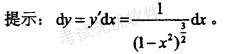
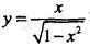
函数在x处的微分为( )。
相关内容:函数
- 设服从N(0,1)分布的随机变量X,其分布函数为Φ(x)。如果Φ(1)=0.84,则P{ X ≤1}的值是( )。A. 0.25
B. 0.68
C....
- 下列函数中不是方程y''-2y'+y= 0的解的函数是( )。A. x2ex
B. ex
C. xex
D. (x+2)ex
- 已知,则f(x)在(0,π)内的正级数的和函数s(x)在x=π/2处的值及系数b3分别为( )。
- 函数1/x展开成(x-2)的幂级数为( )。
- 设f(x)为连续函数,那么等于( )。A. f(x + b) + f(x+a)
B. f(x + b)-f(x + a)
C. f(x+b)-f(a)...
- 设F(x)是f(x)的一个原函数,则?e-x f(e-x)dx等于( )。A. F(e-x) +
B. -F(e-x)+
C. F(ex) +
D....
- 设f(x)是连续函数,F(x)是f(x)的原函数,则()。A.当f(x)是奇函数时,F(x)必是偶函数
B.当f(x)是偶函数时,F(x)必是奇函数
...
- 下列函数中,不是e2x-e-2x的原函数的是( )。
- 设函数f(x)在(-∞,+∞)上是偶函数,且在(0,+∞)内有f(x)>0,f(x)>0,则在(-∞,0)内必有( )。A.f(x)>0,f(x)>0 B...
- 若函数处取得极值,则a的值是( )。