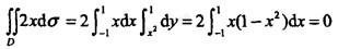
设D是曲线y=x2与y=1 所围闭区域,等于( )。A. 1 B. 1/2 C.0 D. 2

作者: tihaiku 人气: - 评论: 0
问题 设D是曲线y=x2与y=1 所围闭区域,等于( )。
选项 A. 1 B. 1/2 C.0 D. 2
答案 C
解析 提示:或积分区域关于y轴对称,被积函数关于x为奇函数,积分为零。

相关内容:曲线,所围,区域

猜你喜欢

发表评论
更多 网友评论0 条评论)
暂无评论
错误啦!

错误信息

  • 消息: [程序异常] : MISCONF Redis is configured to save RDB snapshots, but it's currently unable to persist to disk. Commands that may modify the data set are disabled, because this instance is configured to report errors during writes if RDB snapshotting fails (stop-writes-on-bgsave-error option). Please check the Redis logs for details about the RDB error.
  • 文件: /twcms/kongphp/cache/cache_redis.class.php
  • 位置: 第 85 行
    <?php echo 'KongPHP, Road to Jane.'; ?>