当x →0时,3x-1是x的( )。A.高阶无穷小 B.低阶无穷小 C.等价无穷小 D.同阶但非等价无穷小

作者: tihaiku 人气: - 评论: 0
问题 当x →0时,3x-1是x的( )。
选项 A.高阶无穷小 B.低阶无穷小 C.等价无穷小 D.同阶但非等价无穷小
答案 D
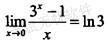
解析 正确答案为D。 提示:,故3x-1是x的同阶但非等价无穷小。

猜你喜欢

发表评论
更多 网友评论0 条评论)
暂无评论
错误啦!

错误信息

  • 消息: [程序异常] : MISCONF Redis is configured to save RDB snapshots, but it's currently unable to persist to disk. Commands that may modify the data set are disabled, because this instance is configured to report errors during writes if RDB snapshotting fails (stop-writes-on-bgsave-error option). Please check the Redis logs for details about the RDB error.
  • 文件: /twcms/kongphp/cache/cache_redis.class.php
  • 位置: 第 85 行
    <?php echo 'KongPHP, Road to Jane.'; ?>