管径d=100mm,粗糙度为k=0.2mm,管长L=500m,管内流速3m/s,已知处于紊流粗糙区。则其沿程损失为( )m。A. 34.5
B. 43....
问题
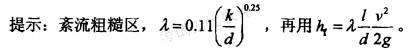
管径d=100mm,粗糙度为k=0.2mm,管长L=500m,管内流速3m/s,已知处于紊流粗糙区。则其沿程损失为( )m。
选项
A. 34.5
B. 43.3
C. 25.2
D. 53.4
答案
D
解析
相关内容:管径,粗糙度,管长,管内,流速,粗糙区,其沿,程损,43....
图6-16所示一高压喷嘴,喷嘴出口断面1-1的平均流速为10m/s,喷至2-2断面的平均流减少为1m/s,不计水头损失,则喷射高度H为( )m。
A. ... 管阻力的模型实验,原型与模型都用同一种油,几何比尺λ1 =2,模型流量中心线流速1m/s,原型中心线流速为( )m/s。A. 2
B. 1.5
C. ... 圆管紊流光滑区的沿程损失系数λ( )。A.只与雷诺数Re有关
B.与管壁相对粗糙度k/d有关
C.与Re及 k/d有关
D.与Re和管长l有关 圆管层流的平均流速是4m/s,其管中心处的最大流速为( )m/s。A. 8
B. 4
C. 16
D. 10 变直径管,直径由100mni扩大到200mm,直径变大后的流速为1.5m/s,直径变 化前的流速为( )m/s。A. 2
B. 3
C. 6
D. 9 图6-24所示半开阀门,阀门前后的测压管水头差为Δh=1m水柱,管径不变,管中平均流速v=2m/s,则该阀门的局部阻力系数ζ为( )。
A. 4.9
... 均匀紊流的水力坡度()。A.与管道长度成正比
B.与管内平均流速成正比
C.与沿程损失系数成正比
D.与动力黏滞系数成正比 研究锥管阻力的模型实验,原型进出口直径分别为1m和2m,管长0.5m,则模型管锥顶角为 ()。A. 45°
B. 60°
C. 90°
D. 120° 坡度、边壁材料相同的渠道,当过水断面的水力半径相等时,明渠均匀流过水断面的平均流速( )。A.半圆形渠道最大
B.梯形渠道最大
C.矩形渠道最大
D... 图6-27中,水箱侧壁开一圆形薄壁孔口,直径d = 5cm ,水面 恒定,孔口中心到水面的高度H= 4.0m,已知孔口的流速系数 φ =0.98收缩系数ε...
错误啦!
错误信息
消息: [程序异常] : MISCONF Redis is configured to save RDB snapshots, but it's currently unable to persist to disk. Commands that may modify the data set are disabled, because this instance is configured to report errors during writes if RDB snapshotting fails (stop-writes-on-bgsave-error option). Please check the Redis logs for details about the RDB error.
文件: /twcms/kongphp/cache/cache_redis.class.php
位置: 第 85 行
<?php echo 'KongPHP, Road to Jane.'; ?>