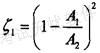
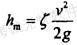
突然扩大管如图6-23所示,放大前后管路直径分别为100mm和200mm,放大后断面平均流速为v2=1m/s,则局部水头损失hm为( )。 A. 0.6...

作者: tihaiku 人气: - 评论: 0
问题 突然扩大管如图6-23所示,放大前后管路直径分别为100mm和200mm,放大后断面平均流速为v2=1m/s,则局部水头损失hm为( )。
选项 A. 0.613m B. 0.556m C. 0.459m D. 0.343m
答案 C
解析 提示:,注意流速要带入与其对应的流速值:

相关内容:如图,6-23所示,管路,直径,断面,流速,局部,水头,损失,0.6...

猜你喜欢

发表评论
更多 网友评论0 条评论)
暂无评论

Copyright © 2012-2014 恰考网 Inc. 保留所有权利。 Powered by tikuer.com

页面耗时0.0341秒, 内存占用1.04 MB, Cache:redis,访问数据库20次