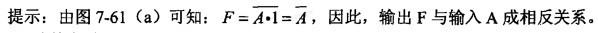
基本门如图7-61(a)所示,其中,数字信号A由图7-61(b)给出,那么,输出F为()。

作者: tihaiku 人气: - 评论: 0
问题 基本门如图7-61(a)所示,其中,数字信号A由图7-61(b)给出,那么,输出F为()。
选项
答案 D
解析 正确答案是D。

相关内容:如图,数字,信号,由图

猜你喜欢

发表评论
更多 网友评论0 条评论)
暂无评论

Copyright © 2012-2014 恰考网 Inc. 保留所有权利。 Powered by tikuer.com

页面耗时0.0862秒, 内存占用1.03 MB, Cache:redis,访问数据库16次