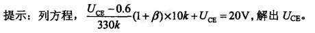
某放大电路如图7-53所示,已知三极管电流放大系数β=50,UBE=0.6V,静态时UCE等于()V。
A.10.2
B.7.6
C.6.8
D.8.3
相关内容:电路,如图,7-53所示,三极管,电流,静态,A.10.2
- 如图6-18所示,明渠均匀流过流断面水深H=3m,底面上的压强为( )kPa。
A. 9.81
B. 39.24
C. 29.43
D. 19.62
- 如图6-17所示,水从直径相同的喷嘴喷出,打在平板上,流速分别为1m/s、2m/s, 两种情况下,对板的冲击力之比为( )。
A. 1:1
B. 1:...
- 如图6-15所示垂直下泄恒定流水管,出口流速v=6m/s,管径不变,上游断面1-1高于出口断面2-2,高差为4m,水头损失不计,则上断面1-1的压强水头为...
- 如图6-11所示,水库上下游水深h1=6m、 h2=5m,闸板高h=3m,宽1m。则闸板上的水压力为( )kN。
A. 29.4
B. 58.8
C...
- 如图6-8所示,右侧水箱内为大气压强。 现将水箱封闭,升高左侧的水位调节器则1、2、3、4 水面关系有( )。
A. 1高于3、4
B. 4高于2
...
- 如图6-5所示,垂直放置的矩形平板挡水,水深3m,静水总压力P的作用点到水面的距离yD为( )m。
A. 1.25
B. 1.5
C. 2
D. 2.5
- 如图6-2所示,已知活塞直径d=100mm,长l=100mm气缸直径D=100.4mm,其间充满黏滞系数为0.1Pa·s的油,活塞以2m/s的速度运动时,...
- 如图6-1所示,平板与固体壁面间间距为1mm,流体的动力黏滞系数为S, 以50N的力拖动,速度为1m/s,平板的面积是( )m2。
A. 1
B. ...
- 压杆下端固定,上端与水平弹簧相连,如图5-72所示,则压杆长度因数μ的范围是( )。
A. μ2
- 如图5-70所示,细长压杆两端在x-y、x-z平面内的约束条件相同,为提高稳定承载能力,对横截面积相等的同一种材料,合理的截面形式为( )。
A.选(...