两瓶理想气体A和B, A为1mol氧气,B为1mol甲烷(CH4),它们的内能相同。 那么它们分子的平均平动动能之比为( )。A. 1:1 B. 2:3...

作者: tihaiku 人气: - 评论: 0
问题 两瓶理想气体A和B, A为1mol氧气,B为1mol甲烷(CH4),它们的内能相同。 那么它们分子的平均平动动能之比为( )。
选项 A. 1:1 B. 2:3 C. 4:5 D. 6:5
答案 D
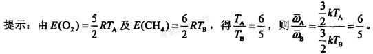
解析

相关内容:理想,气体,氧气,甲烷,内能,分子,平动,动能

猜你喜欢

发表评论
更多 网友评论0 条评论)
暂无评论
错误啦!

错误信息

  • 消息: [程序异常] : MISCONF Redis is configured to save RDB snapshots, but it's currently unable to persist to disk. Commands that may modify the data set are disabled, because this instance is configured to report errors during writes if RDB snapshotting fails (stop-writes-on-bgsave-error option). Please check the Redis logs for details about the RDB error.
  • 文件: /twcms/kongphp/cache/cache_redis.class.php
  • 位置: 第 85 行
    <?php echo 'KongPHP, Road to Jane.'; ?>