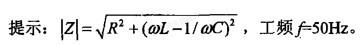
如图7-24所示电路中,在工频电压u(t)的激励下,电路的阻抗等于()。

作者: tihaiku 人气: - 评论: 0
问题 如图7-24所示电路中,在工频电压u(t)的激励下,电路的阻抗等于()。
选项
答案 C
解析 正确答案是C。

相关内容:如图,电路,工频,电压,激励,阻抗

猜你喜欢

发表评论
更多 网友评论0 条评论)
暂无评论

Copyright © 2012-2014 恰考网 Inc. 保留所有权利。 Powered by tikuer.com

页面耗时0.0524秒, 内存占用1.04 MB, Cache:redis,访问数据库18次