均质细直杆OA长为l,质量为m,A端固结一质量为m的小球(不计尺寸),如图4-76所示。当OA杆以匀角速度ω绕O轴转动时,该系统对O轴的动量矩为()。 ...

作者: tihaiku 人气: - 评论: 0
问题 均质细直杆OA长为l,质量为m,A端固结一质量为m的小球(不计尺寸),如图4-76所示。当OA杆以匀角速度ω绕O轴转动时,该系统对O轴的动量矩为()。
选项 A. 1/3ml2ω B. 2/3ml2ω C. ml2ω D. 4/3ml2ω
答案 D
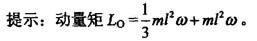
解析

相关内容:细直,质量,小球,尺寸,如图,4-76所示,角速度,系统,动量矩

猜你喜欢

发表评论
更多 网友评论0 条评论)
暂无评论

Copyright © 2012-2014 恰考网 Inc. 保留所有权利。 Powered by tikuer.com

页面耗时0.0506秒, 内存占用1.04 MB, Cache:redis,访问数据库20次