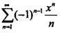
幂级数的收敛区间为( )。A. [-1,1]
B. (-1,1]
C. [-1,1)
D. (-1,1)
相关内容:级数,收敛,区间
- 已知,则f(x)在(0,π)内的正级数的和函数s(x)在x=π/2处的值及系数b3分别为( )。
- 幂级数的和是( )。
- 幂级数的收敛区间为( )。A. [-1,1]
B. (-1,1]
C. [-1,1)
D. (-1,1)
- 幂级数的收敛域为()。A. [-1,1)
B. [4,6)
C. [4,6]
D. (4,6]
- 设幂级数的收敛半径为2,则幂级数的收敛区间是( )。A. (-2,2)
B. (-2,4)
C. (0,4)
D. (-4,0)
- 若幂级数在x=-2处收敛,在x = 3处发散,则该级数( )。A.必在x = -3处发散
B.必在x=2处收敛
C.必在 x >3时发散
D.其收敛...
- 设0≤an≤1/n(n=1,2,…),下列级数中绝对收敛的是( )。
- 级数 ( )。A.当p>1/2时,绝对收敛
B.当p>1/2时,条件收敛
C.当p
- 若级数收敛,则下列级数中不收敛的是( )。
- 若级数收敛,则级数( )。A.必绝对收敛
B.必条件收敛
C.必发散
D.可能收敛,也可能发散