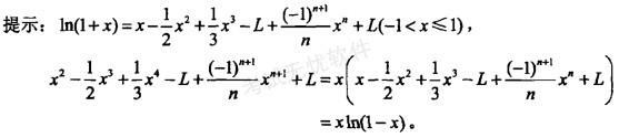
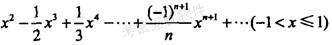
相关内容:级数
- 将f(x)=1/(2-x)展开为x的幂级数,其收敛域为( )。A. (-1,1)
B. (-2,2)
C.〔-1/2,1/2)
D. (-∞,+∞)
- 幂级数的收敛区间为( )。A. [-1,1]
B. (-1,1]
C. [-1,1)
D. (-1,1)
- 幂级数的收敛域为()。A. [-1,1)
B. [4,6)
C. [4,6]
D. (4,6]
- 若级数发散,则的敛散性为( )。A. 一定发散 B.可能收敛,也可能发散
C. a>0时收敛,a1时发散
- 设0≤an≤1/n(n=1,2,…),下列级数中绝对收敛的是( )。
- 级数的收敛性是( )。A.绝对收敛
B.条件收敛
C.等比级数收敛
D.发散
- 下列各级数中发散的是( )。
- 级数 ( )。A.当p>1/2时,绝对收敛
B.当p>1/2时,条件收敛
C.当p
- 若级数收敛,则下列级数中不收敛的是( )。
- 若级数收敛,则级数( )。A.必绝对收敛
B.必条件收敛
C.必发散
D.可能收敛,也可能发散