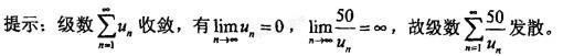
若级数收敛,则下列级数中不收敛的是( )。
相关内容:级数,收敛,中不
- 下列措施中不能提高产品价值的是( )。A.降低成本,功能提高
B.降低成本,功能不变
C.成本略有提高,功能提高很多
D.成本略有提高,功能不变
- 下列评价指标中不属于盈利能力分析的是( )。A.总投资收益率
B.财务净现值
C.投资回收期
D.借款偿还期
- 以下特性中不属于股票融资的特点是( )。A.股票融资所筹资金是项目的股本资金,可增强公司的举债能力
B.股票融资所筹资金具有永久性,无到期日,不需归还
...
- 设n阶矩阵A可逆,α是A的属于特征值λ的特征向量,则下列结论中不正确的是( )。A. α是矩阵-2
B的属于特征值-2λ的特征向量
C. α是矩阵
...
- 已知,则f(x)在(0,π)内的正级数的和函数s(x)在x=π/2处的值及系数b3分别为( )。
- 将f(x)=1/(2-x)展开为x的幂级数,其收敛域为( )。A. (-1,1)
B. (-2,2)
C.〔-1/2,1/2)
D. (-∞,+∞)
- 已知幂级数的收敛半径R=1,则幂级数的收敛域为( )。A. (-1,1]
B. [-1,1]
C. [-1,1)
D.(-∞,+∞)
- 设幂级数的收敛半径为2,则幂级数的收敛区间是( )。A. (-2,2)
B. (-2,4)
C. (0,4)
D. (-4,0)
- 若级数在x = -2处收敛,则此级数在x= 5处( )。A.发散
B.条件收敛
C.绝对收敛
D.收敛性不能确定
- 若级数发散,则的敛散性为( )。A. 一定发散 B.可能收敛,也可能发散
C. a>0时收敛,a1时发散