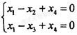
齐次线性方程组的基础解系为( )。

作者: tihaiku 人气: - 评论: 0
问题 齐次线性方程组的基础解系为( )。
选项
答案 C
解析 提示:求解所给方程组,得基础解系α1=(1,1,1,0)T,α2=(-1,0,0,1)T,故选C。也可将选项代入方程验证。

相关内容:齐次,线性,方程组,基础,解系

猜你喜欢

发表评论
更多 网友评论0 条评论)
暂无评论

Copyright © 2012-2014 恰考网 Inc. 保留所有权利。 Powered by tikuer.com

页面耗时0.0456秒, 内存占用1.03 MB, Cache:redis,访问数据库15次