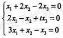
设B是3阶非零矩阵,已知B的每一列都是方程组的解,则t等于( )。A. 0 B. 2 C. -1 D. 1

作者: tihaiku 人气: - 评论: 0
问题 设B是3阶非零矩阵,已知B的每一列都是方程组的解,则t等于( )。
选项 A. 0 B. 2 C. -1 D. 1
答案 D
解析 提示:由条件知齐次方程组有非零解,故系数行列式等于零,,得t = 1,故选D。

猜你喜欢

发表评论
更多 网友评论0 条评论)
暂无评论
错误啦!

错误信息

  • 消息: [程序异常] : MISCONF Redis is configured to save RDB snapshots, but it's currently unable to persist to disk. Commands that may modify the data set are disabled, because this instance is configured to report errors during writes if RDB snapshotting fails (stop-writes-on-bgsave-error option). Please check the Redis logs for details about the RDB error.
  • 文件: /twcms/kongphp/cache/cache_redis.class.php
  • 位置: 第 85 行
    <?php echo 'KongPHP, Road to Jane.'; ?>