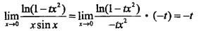
极限的值是( )。A. t B. -t C. 1 D. -1

作者: tihaiku 人气: - 评论: 0
问题 极限的值是( )。
选项 A. t B. -t C. 1 D. -1
答案 B
解析 正确答案是B。 提示:

猜你喜欢

发表评论
更多 网友评论0 条评论)
暂无评论

Copyright © 2012-2014 恰考网 Inc. 保留所有权利。 Powered by tikuer.com

页面耗时0.0550秒, 内存占用1.03 MB, Cache:redis,访问数据库20次