若f(x)的一个原函数是e-2x,则?f''(x)dx= ( )。A. e-2x+ B. -2e-2x C.-2e-2x+ D.4e-2x+

作者: tihaiku 人气: - 评论: 0
问题 若f(x)的一个原函数是e-2x,则?f''(x)dx= ( )。
选项 A. e-2x+ B. -2e-2x C.-2e-2x+ D.4e-2x+
答案 D
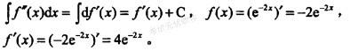
解析 提示:

猜你喜欢

发表评论
更多 网友评论0 条评论)
暂无评论

Copyright © 2012-2014 恰考网 Inc. 保留所有权利。 Powered by tikuer.com

页面耗时0.0324秒, 内存占用1.01 MB, Cache:redis,访问数据库19次