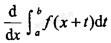
设f(x)为连续函数,那么等于( )。A. f(x + b) + f(x+a) B. f(x + b)-f(x + a) C. f(x+b)-f(a)...

作者: tihaiku 人气: - 评论: 0
问题 设f(x)为连续函数,那么等于( )。
选项 A. f(x + b) + f(x+a) B. f(x + b)-f(x + a) C. f(x+b)-f(a) D. f(b)-f(x+a)
答案 B
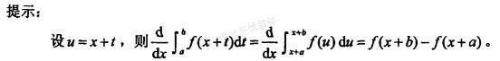
解析

猜你喜欢

发表评论
更多 网友评论0 条评论)
暂无评论

Copyright © 2012-2014 恰考网 Inc. 保留所有权利。 Powered by tikuer.com

页面耗时0.0413秒, 内存占用1.01 MB, Cache:redis,访问数据库18次