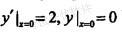
微分方程y''-6y'+9y=0在初始条件下的特解为( )
相关内容:初始,特解
- 用3个D触发器组成的电路如图7-66所示,设Q2Q1Q0的初始状态为000,触发器F0的输入端接+5V表明D0=1,那么,在第1个CP脉冲和第2个脉冲的上...
- 如图7-41所示电路中,R=1kΩ,C=1μF,Ui=1V,电容无初始储能,如果开关S在t=0时刻闭合,则给出输出电压波形的是()。
- 质量为m,长为2l的均质细杆初始位于水平位置,如图4-68所示。A端脱落后, 杆绕轴B转动,当杆转到铅垂位置时,AB杆B处的约束力大小为( )。
- 某永久性桥梁现有三个设计方案甲、乙、丙,各方案的初始投资额、年维护费用、 大修费用和大修周期见表11-5,基准收益率为8%,已知(A/F,8%, 5) =...
- 现有三个独立方案甲、乙、丙,其内部收益率分别为15.32%、16.13%、13.78%, 初始投资分别为300万元、420万元、480万元。已知基准收益率...
- 微分方程y''-6y'+9y=0在初始条件下的特解为( )
- 如图7-41所示电路中,R=1kΩ,C=1μF,Ui=1V,电容无初始储能,如果开关S在t=0时刻闭合,则给出输出电压波形的是()。
- 现有三个独立方案甲、乙、丙,其内部收益率分别为15.32%、16.13%、13.78%, 初始投资分别为300万元、420万元、480万元。已知基准收益率...
- 微分方程y''-6y'+9y=0在初始条件下的特解为( )
- 有四个互斥方案,寿命期均为10年,基准收益率为8%, (P/A, 8%, 10) =6.710 1, 各方案的初始投资和年净收益如表11-1所示,则最优方...