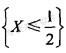
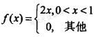
设随机变量X的概率密度为,用Y表示对X的3次独立重复观察中事件出现的次数,则P{Y=2}=( )。A.3/64 B.9/64 C.3/16 D. 9/16

作者: tihaiku 人气: - 评论: 0
问题 设随机变量X的概率密度为,用Y表示对X的3次独立重复观察中事件出现的次数,则P{Y=2}=( )。
选项 A.3/64 B.9/64 C.3/16 D. 9/16
答案 B
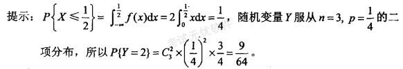
解析

猜你喜欢

发表评论
更多 网友评论0 条评论)
暂无评论

Copyright © 2012-2014 恰考网 Inc. 保留所有权利。 Powered by tikuer.com

页面耗时0.0469秒, 内存占用1.03 MB, Cache:redis,访问数据库14次