1mol的单原子分子理想气体从状态A变为状态,如果不知是什么气体,变化过程也不知道,但A、B 两态的压强、体积和温度都知道,则可求出( )。A.气体所做的...

作者: tihaiku 人气: - 评论: 0
问题 1mol的单原子分子理想气体从状态A变为状态,如果不知是什么气体,变化过程也不知道,但A、B 两态的压强、体积和温度都知道,则可求出( )。
选项 A.气体所做的功 B.气体内能的变化 C.气体传给外界的热量 D.气体的质量
答案 B
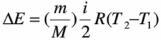
解析 四个选项中只有气体内能的变化ΔE与过程无关,对于理想气体,内能只是温度T的单值函数,其表达式为: 由公式可知ΔE只与始末状态有关。而功和热都是过程量,是系统内能变化的量度,过程不同,功和热一般也不同。气体质量与气体的分子量有关,因气体种类未知,即分子量未知,故无法求得质量。

相关内容:分子,理想,气体,状态,变化,过程,两态,压强,体积,温度,求出

猜你喜欢

发表评论
更多 网友评论0 条评论)
暂无评论

Copyright © 2012-2014 恰考网 Inc. 保留所有权利。 Powered by tikuer.com

页面耗时0.0343秒, 内存占用1.04 MB, Cache:redis,访问数据库20次